Skewness and Kurtosis
- Dr. Bhupender Kumar Som
- Jun 17, 2022
- 1 min read
Updated: Jun 20, 2022

It refers to asymmetry of any distribution. The symmetry of a distribution means that from a given deviation from a central value, there are equal number of observations on either side of the it.
If the distribution is asymmetrical or skewed, its frequency curve would have a prolonged tail either towards its left or right hand side.
Hence the Skewness of a distribution is defined as the departure form symmetry.
Symmetric or Normal Distribution
For a symmetrical distribution
Mean = Median = Mode

Positively Skewed
For Positively Skewed distribution
Mode < Median < Mean
(i.e. more values are on the right hand side of the distribution than left)

Negatively Skewed
For Negatively Skewed distribution
Mean < Median < Mode
(i.e. more values are on the left hand side of the distribution than Right)

Measures of Skewness
Based on Measure of Mean, Median and Mode.
Based on Quartiles and Percentiles.
Based on Moments.
Based on Measure of Mean, Median and Mode


Based on Quartiles and Percentiles

Known as Bowly’s Coefficient of Skewness

Value of coefficient of Skewness lies between - 1 and + 1
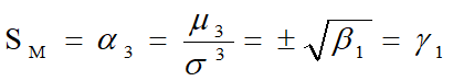
Based on Moments


Measures of Kurtosis
A measure of coefficient of Kurtosis is given by Karl Pearson; That says if




Comments